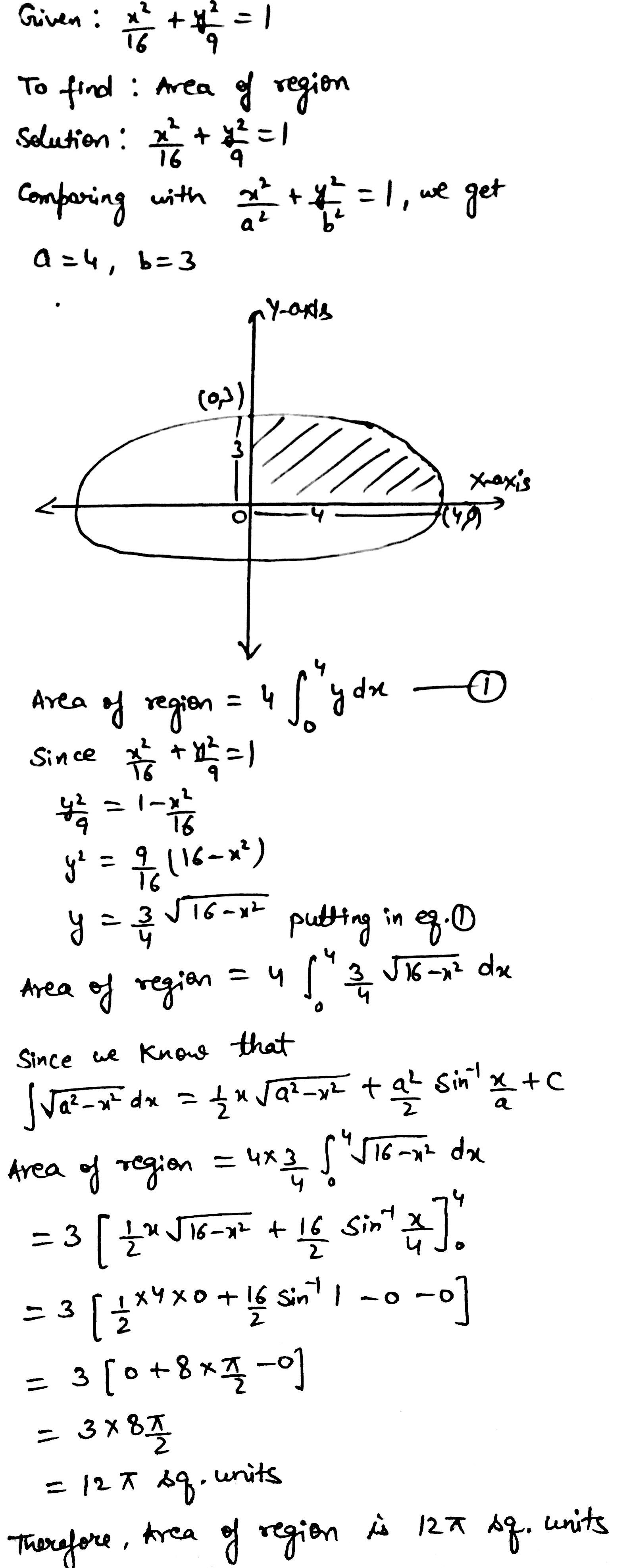
Find The Area Of The Region Bounded By The Ellipse X 2 16 Y 2 9 1 Mathematics Shaalaa Com
1 9(x y)2 – 16(x – 2y)2 Get the answers you need, now!NCERT Solutions NCERT Solutions For Class 12 NCERT Solutions For Class 12 Physics;
X^2/9-y^2/16=1 hyperbola
X^2/9-y^2/16=1 hyperbola-Free PreAlgebra, Algebra, Trigonometry, Calculus, Geometry, Statistics and Chemistry calculators stepbystepSee the answer See the answer See the answer done loading
Match The Equation With Its Graph Frac X29 Frac Y Gauthmath
The aspect ratio of an image is the ratio of its width to its height, and is expressed with two numbers separated by a colon, such as 169, sixteentonineFor the xy aspect ratio, the image is x units wide and y units high Common aspect ratios are 1851 and 2391 in cinematography, 43 and 169 in television photography, and 32 in still photographyProblem 1 Problem 2 Problem 3 Problem 4 Problem 5 Problem 6 Problem 7 Problem 8 Problem 9 Problem 10 Problem 11 Problem 12 Problem 13 Problem 14 Problem 15 Problem 16 Problem 17 Problem 18 Problem 19 Problem Problem 21 Problem 22 Problem 23 Problem 24 Problem 25 Problem 26 Problem 27 Problem 28 Problem 29 Problem 30 Problem 31 Problem 32Soluciona tus problemas matemáticos con nuestro solucionador matemático gratuito, que incluye soluciones paso a paso Nuestro solucionador matemático admite matemáticas básicas, preálgebra, álgebra, trigonometría, cálculo y mucho más
Extended Keyboard Examples Upload Random Compute answers using Wolfram's breakthrough technology & knowledgebase, relied on by millions of students & professionals For math, science, nutritionResultado de 4x11=21 4x11=21 Movemos todos los personajes a la izquierda 4x11(21)=0 Sumamos todos los números y todas las variables 4x32=0 Movemos todos los términos que contienen x al lado izquierdo, todos los demás términos al lado derecho 4x=32 x=32/4 x=8 El resultado de la ecuación 4x11=21 para usar en su tarea domésticaAnswer to Solved a x^2/81 y^2/9 =1b x^216 Y^2/100 =1 This problem has been solved!
X^2/9-y^2/16=1 hyperbolaのギャラリー
各画像をクリックすると、ダウンロードまたは拡大表示できます
![]() Solved Find The Equation Of The Tangent Line To The Chegg Com | ![]() Solved Find The Equation Of The Tangent Line To The Chegg Com | Solved Find The Equation Of The Tangent Line To The Chegg Com |
![]() Solved Find The Equation Of The Tangent Line To The Chegg Com | ![]() Solved Find The Equation Of The Tangent Line To The Chegg Com | ![]() Solved Find The Equation Of The Tangent Line To The Chegg Com |
![]() Solved Find The Equation Of The Tangent Line To The Chegg Com | Solved Find The Equation Of The Tangent Line To The Chegg Com | ![]() Solved Find The Equation Of The Tangent Line To The Chegg Com |
![]() Solved Find The Equation Of The Tangent Line To The Chegg Com | ![]() Solved Find The Equation Of The Tangent Line To The Chegg Com | ![]() Solved Find The Equation Of The Tangent Line To The Chegg Com |
![]() Solved Find The Equation Of The Tangent Line To The Chegg Com | Solved Find The Equation Of The Tangent Line To The Chegg Com | Solved Find The Equation Of The Tangent Line To The Chegg Com |
![]() Solved Find The Equation Of The Tangent Line To The Chegg Com | ![]() Solved Find The Equation Of The Tangent Line To The Chegg Com | Solved Find The Equation Of The Tangent Line To The Chegg Com |
![]() Solved Find The Equation Of The Tangent Line To The Chegg Com | ![]() Solved Find The Equation Of The Tangent Line To The Chegg Com | ![]() Solved Find The Equation Of The Tangent Line To The Chegg Com |
![]() Solved Find The Equation Of The Tangent Line To The Chegg Com | ![]() Solved Find The Equation Of The Tangent Line To The Chegg Com | ![]() Solved Find The Equation Of The Tangent Line To The Chegg Com |
![]() Solved Find The Equation Of The Tangent Line To The Chegg Com | ![]() Solved Find The Equation Of The Tangent Line To The Chegg Com | ![]() Solved Find The Equation Of The Tangent Line To The Chegg Com |
![]() Solved Find The Equation Of The Tangent Line To The Chegg Com | Solved Find The Equation Of The Tangent Line To The Chegg Com | ![]() Solved Find The Equation Of The Tangent Line To The Chegg Com |
![]() Solved Find The Equation Of The Tangent Line To The Chegg Com | Solved Find The Equation Of The Tangent Line To The Chegg Com | ![]() Solved Find The Equation Of The Tangent Line To The Chegg Com |
Solved Find The Equation Of The Tangent Line To The Chegg Com | ![]() Solved Find The Equation Of The Tangent Line To The Chegg Com | ![]() Solved Find The Equation Of The Tangent Line To The Chegg Com |
Solved Find The Equation Of The Tangent Line To The Chegg Com | ![]() Solved Find The Equation Of The Tangent Line To The Chegg Com | ![]() Solved Find The Equation Of The Tangent Line To The Chegg Com |
Solved Find The Equation Of The Tangent Line To The Chegg Com | ![]() Solved Find The Equation Of The Tangent Line To The Chegg Com | Solved Find The Equation Of The Tangent Line To The Chegg Com |
![]() Solved Find The Equation Of The Tangent Line To The Chegg Com | Solved Find The Equation Of The Tangent Line To The Chegg Com | ![]() Solved Find The Equation Of The Tangent Line To The Chegg Com |
![]() Solved Find The Equation Of The Tangent Line To The Chegg Com | Solved Find The Equation Of The Tangent Line To The Chegg Com | Solved Find The Equation Of The Tangent Line To The Chegg Com |
![]() Solved Find The Equation Of The Tangent Line To The Chegg Com | ![]() Solved Find The Equation Of The Tangent Line To The Chegg Com | ![]() Solved Find The Equation Of The Tangent Line To The Chegg Com |
Solved Find The Equation Of The Tangent Line To The Chegg Com | ![]() Solved Find The Equation Of The Tangent Line To The Chegg Com | ![]() Solved Find The Equation Of The Tangent Line To The Chegg Com |
![]() Solved Find The Equation Of The Tangent Line To The Chegg Com | ![]() Solved Find The Equation Of The Tangent Line To The Chegg Com | Solved Find The Equation Of The Tangent Line To The Chegg Com |
Solved Find The Equation Of The Tangent Line To The Chegg Com | Solved Find The Equation Of The Tangent Line To The Chegg Com | ![]() Solved Find The Equation Of The Tangent Line To The Chegg Com |
Solved Find The Equation Of The Tangent Line To The Chegg Com | Solved Find The Equation Of The Tangent Line To The Chegg Com | Solved Find The Equation Of The Tangent Line To The Chegg Com |
![]() Solved Find The Equation Of The Tangent Line To The Chegg Com | ![]() Solved Find The Equation Of The Tangent Line To The Chegg Com | Solved Find The Equation Of The Tangent Line To The Chegg Com |
Solved Find The Equation Of The Tangent Line To The Chegg Com | Solved Find The Equation Of The Tangent Line To The Chegg Com | ![]() Solved Find The Equation Of The Tangent Line To The Chegg Com |
![]() Solved Find The Equation Of The Tangent Line To The Chegg Com | Solved Find The Equation Of The Tangent Line To The Chegg Com | ![]() Solved Find The Equation Of The Tangent Line To The Chegg Com |
![]() Solved Find The Equation Of The Tangent Line To The Chegg Com | ![]() Solved Find The Equation Of The Tangent Line To The Chegg Com | ![]() Solved Find The Equation Of The Tangent Line To The Chegg Com |
![]() Solved Find The Equation Of The Tangent Line To The Chegg Com | ![]() Solved Find The Equation Of The Tangent Line To The Chegg Com | Solved Find The Equation Of The Tangent Line To The Chegg Com |
![]() Solved Find The Equation Of The Tangent Line To The Chegg Com | ![]() Solved Find The Equation Of The Tangent Line To The Chegg Com | ![]() Solved Find The Equation Of The Tangent Line To The Chegg Com |
![]() Solved Find The Equation Of The Tangent Line To The Chegg Com | ![]() Solved Find The Equation Of The Tangent Line To The Chegg Com | ![]() Solved Find The Equation Of The Tangent Line To The Chegg Com |
![]() Solved Find The Equation Of The Tangent Line To The Chegg Com | Solved Find The Equation Of The Tangent Line To The Chegg Com | Solved Find The Equation Of The Tangent Line To The Chegg Com |
Solved Find The Equation Of The Tangent Line To The Chegg Com | Solved Find The Equation Of The Tangent Line To The Chegg Com | Solved Find The Equation Of The Tangent Line To The Chegg Com |
![]() Solved Find The Equation Of The Tangent Line To The Chegg Com | ![]() Solved Find The Equation Of The Tangent Line To The Chegg Com | Solved Find The Equation Of The Tangent Line To The Chegg Com |
Solved Find The Equation Of The Tangent Line To The Chegg Com | ![]() Solved Find The Equation Of The Tangent Line To The Chegg Com | Solved Find The Equation Of The Tangent Line To The Chegg Com |
Factorize 9 x 2 − 1 6 y 2 for x = 2, y = 1 Easy Open in App Solution Verified by Toppr Correct option is A) 9 x 2X^2y^2=1, (x2)^2(y1)^2=4 Natural Language;
Incoming Term: x^2/16+y^2/9=1, x^2/16+y^2/9=1 graph, area of ellipse x^2/16+y^2/9=1, eccentricity of ellipse x^2/16+y^2/9=1, the two curves x^2/16-y^2/9=1 and, if the curves x^2/16+y^2/9=1, (x-3)^2/16+(y+2)^2/9=1, (x-3)^2/16+(y+4)^2/9=1, a point on the ellipse x^2/16+y^2/9=1 at a distance, x^2/9-y^2/16=1 hyperbola,
































































0 件のコメント:
コメントを投稿